水上淘沙金設備
水上淘沙金設備目錄及技術參數報價15053659999來電免費索要
Part.1 設備示意圖 2
Part.2 生產工藝流程示意圖 5
Part.3精選工藝流程示意圖(選配) 6
Part.4 技術參數&報價清單 7
Part.5 設備單件圖 9
水上淘沙金設備浮體結構 9
挖斗方架&斜架 10
水下大臂(臂面滾輪鏈條接觸面焊接彈簧鋼板) 11
挖斗 12
鏈條 13
角輪 14
滾筒篩 15
機組、柴油機、船減 16
Part.6 精選設備(選配) 17
精礦回收及提純系統 18
6S搖床 18
自動卸礦混汞機 18
熔金爐主要技術參數: 21
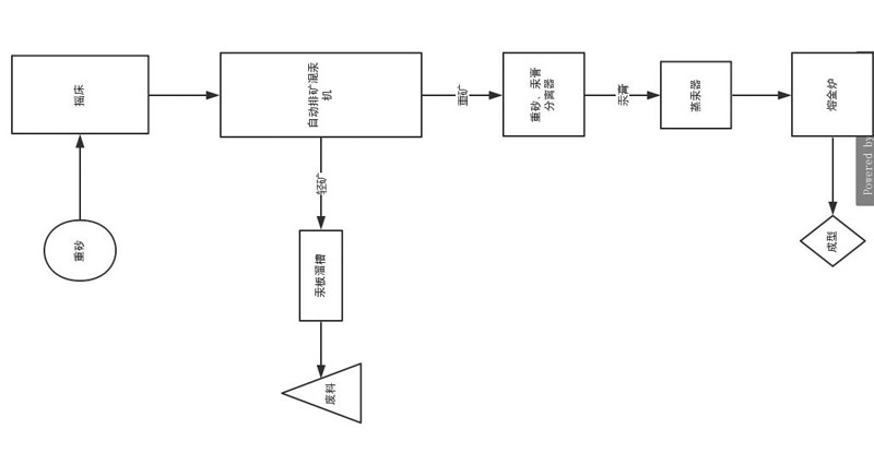
水上淘沙金設備流程概述:
原料通過挖斗送入絞洗式滾筒篩內進行清洗,并且進行篩選分級為:細料、中料與廢料三種規格。
廢料通過輸送機直接排出;
中料通過料斗溜槽排入一臺振動溜槽進行回收后,廢料排出;
細料排入料箱內通過兩臺沙泵分別送入兩臺1200#臥式全自動排礦離心機內進行回收,精料自動排出至料箱內,廢料通過管道排出。
上一篇內容:移動式選沙金設備
上一篇內容:新型河道金礦提取設備
產品分類
冠誠產品中心
相關新聞
為您提供及時的選金資訊
- 淘金機械設備?推薦使用全自動選礦離心機
- 淘沙金礦設備在使用中對其檢修檢驗工作必須要做到位
- 砂金淘金設備價格您知多少?高效沙金設備型號推薦
- 脫泥淘沙金設備采購前需要明確的幾個問題
- 淘沙金設備的選別選礦工藝
- 淘沙金設備 廣西上林淘沙金設備推薦鼓動溜槽
最近更新
十年沉淀為您提供專業的選金產品
聯系我們
我們真誠歡迎您的來電咨詢和考察
全國統一咨詢熱線
15053659999
地址:青州市黃樓街道辦事處西建德村
電話:0536-3593111
傳真:0536-3593111
手機:15053659999,15653473333
Email:1592999333@qq.com





